二階高通濾波器性能解析


一、傳遞函數推導(核心內容)
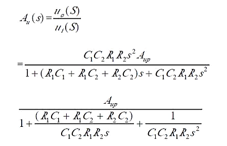
運用節點電流法,可以精準求解出該二階高通濾波器的傳遞函數。

該方法通過對電路中各節點電流的分析,建立相應的數學方程組,進而求解出輸出與輸入之間的關系表達式。具體而言,通過對濾波器電路中關鍵節點的電流進行分析,綜合考慮各電路元件的特性,如電阻、電容等對電流的影響,最終推導得到傳遞函數的表達形式。該傳遞函數能夠清晰地反映出濾波器在不同頻率下的響應特性。

該方法通過對電路中各節點電流的分析,建立相應的數學方程組,進而求解出輸出與輸入之間的關系表達式。具體而言,通過對濾波器電路中關鍵節點的電流進行分析,綜合考慮各電路元件的特性,如電阻、電容等對電流的影響,最終推導得到傳遞函數的表達形式。該傳遞函數能夠清晰地反映出濾波器在不同頻率下的響應特性。
二、頻率特性(核心內容)


二階有源高通濾波器的電路仿真圖如下:


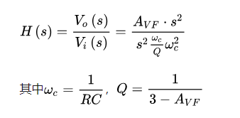
當R1=R2=R,C1=C2=C時,其傳遞函數具有特定的形式,能夠體現出明顯的高通特性。

從傳遞函數的表達式可以深入分析其頻率特性:當頻率較低時,即s值很小時,Vo(s)/Vi(s)的比值也很小,表明濾波器對低頻信號具有很強的衰減作用;隨著頻率的升高,s值增大,Vo(s)/Vi(s)的比值也隨之增大,意味著濾波器逐漸允許高頻信號通過;當s接近于無窮時,Vo(s)/Vi(s)的比值趨于最大值AVF,體現了濾波器在高頻段的穩定增益。

從傳遞函數的表達式可以深入分析其頻率特性:當頻率較低時,即s值很小時,Vo(s)/Vi(s)的比值也很小,表明濾波器對低頻信號具有很強的衰減作用;隨著頻率的升高,s值增大,Vo(s)/Vi(s)的比值也隨之增大,意味著濾波器逐漸允許高頻信號通過;當s接近于無窮時,Vo(s)/Vi(s)的比值趨于最大值AVF,體現了濾波器在高頻段的穩定增益。
在仿真圖中,波特圖能夠直觀地展示濾波器的頻率響應特性。在低頻區間,增益很小,有效抑制了低頻噪聲和干擾;而在高頻區間,增益達到一個近似定值,確保高頻信號能夠穩定傳輸。然而,需要注意的是,在頻率特別高的情況下,由于實際運算放大器(運放)的帶寬有限,增益會出現一定程度的下降。這是因為運放的頻率響應特性限制了其在極高頻率下的性能表現。因此,在實際應用中,選用運放時必須確保其帶寬足夠能夠通過所有的有效信號,以保障濾波器在整個工作頻段內的性能穩定性和可靠性。
〈烜芯微/XXW〉專業制造二極管,三極管,MOS管,橋堆等,20年,工廠直銷省20%,上萬家電路電器生產企業選用,專業的工程師幫您穩定好每一批產品,如果您有遇到什么需要幫助解決的,可以直接聯系下方的聯系號碼或加QQ/微信,由我們的銷售經理給您精準的報價以及產品介紹
聯系號碼:18923864027(同微信)
QQ:709211280

