01 摘要
在當前全球能源危機的形式下,提高電子設備的能效,取得高性能同時降低能耗,成為業內新的關注點。為順應這一趨勢,世界上許多電子廠商希望在產品規格中提高能效標準。在電源管理方面,用傳統的硬開關轉換器是很難達到新能效標準。因此,電源設計者已將開發方向轉向軟開關拓撲,以提高電源的能效,實現更高的工作頻率。
LLC諧振轉換器就是一種軟開關拓撲,允許主功率開關管零電壓開關,顯著降低開關損耗,大幅提高電源能效。在這種拓撲中,為了實現ZVS開關,功率開關管的寄生體二極管必須反向恢復時間非常短。如果體二極管不能恢復全部載流子,則在負載從低到高的變化過程中,可能會發生硬開關操作,并可能導致寄生雙極晶體管導通。
02 前言
在電信設備電源、大型計算機/服務器、電焊機、鋼材切割機等消費應用市場上,對功率密度的需求每年都在增長。要想提高功率密度,就必須減少元件數量,降低功率損耗,縮減散熱器和無源器件的尺寸。目前,硬開關半橋是這些應用的典型拓撲,而LLC諧振半橋則是新興的替代方案。LLC拓撲確保導通前開關管電壓為零(或者關斷期間開關管電流為零),從而消除每次開關時因電流和電壓交疊而導致的功率損耗。
在高頻應用中采用這種開關技術同樣可以降低開關損耗,從而有助于縮減無源器件的尺寸。顯而易見,開關功率損耗降低為在應用設計中選用尺寸更小的散熱器提供了可能。零電壓條件發生是MOSFET寄生體二極管導通所致。在負載快速變化過程中,MOSFET從零電壓開關切換零電流開關,在這種情況下,高dv/dt值可使寄生雙極晶體管導通并燒毀MOSFET。
03 拓撲簡介
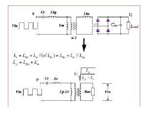
LLC拓撲的基本半橋電路是由兩個開關管組成,高邊開關管(Q1)和低邊開關管(Q2)通過電感Lr和電容Cr與變壓器相連(見圖1)。開關管與寄生體二極管(D1和D2)和寄生輸出電容(C1和C2)并聯,為了闡明它們在全局功能中的作用,我們在圖中把它們單獨標注出來。
在圖1中,我們注意到多出一個Lr電感,實際上,Lr是變壓器漏電感,其規則在LLC拓撲中非常重要。


圖1:LLC半橋電路
如果變壓器原邊電感Lm值很大,不會影響諧振網絡,則上圖所示的轉換器就是一個串聯諧振轉換器。


圖2
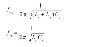
在一個諧振單元中,當輸入信號頻率(fi)等于諧振頻率(fr)時 - 即當LC阻抗為零時,增益最大。諧振轉換器工作頻率范圍是由兩個特定的諧振頻率值界定,這些頻率值與電路有關。驅動控制器設定MOSFET的開關頻率(fs)等于電路諧振頻率,以保證諧振的重要優勢。
現在我們將看到,如何通過改變負載,使諧振頻率從最小值(fr2)變為最大值(fr1):


當
時,LLC就像一個串聯的RC諧振腔;這種功能出現在高負載條件下,即當Lm與低阻抗并聯時;當
時,LLC類似于并聯RC諧振腔,這功能出現在低負載條件下。系統通常不在這個區域工作,因為可以在ZCS條件下運行。如果頻率fi在fr2 < fi < fr1范圍內,則兩個功能同時存在。
時,LLC就像一個串聯的RC諧振腔;這種功能出現在高負載條件下,即當Lm與低阻抗并聯時;當
時,LLC類似于并聯RC諧振腔,這功能出現在低負載條件下。系統通常不在這個區域工作,因為可以在ZCS條件下運行。如果頻率fi在fr2 < fi < fr1范圍內,則兩個功能同時存在。如果使用圖形表示諧振單元的增益,我們就得到圖3所示的曲線,不難看出,圖形變化與Q值相關。


圖3
LLC諧振轉換器的工作范圍受限于峰值增益。值得注意的是,峰值電壓增益既不發生在fr1處 ,也不出現在 fr2處。峰值增益對應的峰值增益頻率是fr2與fr1之間的最大頻率。隨著Q值減?。S著負載減?。?,峰值增益頻率移向fr2,并且獲得更高的峰值增益。隨著Q值增加(負載增加),峰值增益頻率移向fr1,峰值增益下降。因此,滿載應該是諧振網絡設計的最差工作條件。
從MOSFET角度看,如前所述,MOSFET的軟開關是包括LLC在內的諧振轉換器的重要優點,而對于整個系統,由于輸出電流是正弦波,因此, EMI干擾降低。圖4所示是LLC轉換器的典型波形特性。


圖4:LLC轉換器的典型波形
在圖4中我們注意到,漏極電流Ids1在變正前是在負電流區擺動。負電流值表示體二極管導通。在此階段,由于二極管上的壓降,MOSFET漏源兩極的電壓非常小。如果MOSFET在體二極管導通期間開關,則發生ZVS開關,開關損耗降低。該特性可以縮減散熱器尺寸,提高系統能效。
如果MOSFET開關頻率fs小于fr1,功率器件上的電流的形狀會改變。事實上,如果持續時間足以在輸出二極管上產生不連續的電流,則原邊電流形狀會偏離正弦波形。


圖5:fs <fr1時的LLC轉換器的典型波形
此外,如果MOSFET的寄生輸出電容C1和C2與Cr的容值相當,則諧振頻率fr也會受到器件的影響。正是由于這個原因,在設計過程中,選擇Cr值大于C1和C2,可以解決這個問題,使fr值不受所用器件的影響。
04 續流和ZVS條件
分析一下諧振頻率的方程式就會發現,在高于峰值增益頻率時,諧振網絡的輸入阻抗是感抗,諧振網絡的輸入電流(Ip)滯后于諧振網絡的輸入電壓(Vd)。在低于峰值增益頻率時,諧振網絡的輸入阻抗變為容抗,并且Ip領先Vd。在電容區工作時,體二極管在MOSFET開關期間執行反向恢復操作。
當系統在電容區工作時,MOSFET會面臨極大的潛在失效風險。事實上,如圖6中的綠色圓圈所示,寄生體二極管的反向恢復時間變得非常重要。


圖6
根據這一點,在負載由低變高的過程中(圖7),驅動電路應強制MOSFET進入ZVS和正關斷電流區。如果無法保證,MOSFET的工作區可能很危險。


圖7
在低負載穩態條件下,系統工作在頻率較低的諧振頻率fr2附近,然后ZVS導通,并保證正關斷漏極電流。在負載變化(從低到高)后,開關頻率應該變成新的諧振頻率。如果沒有發生這種情況(如圖8中綠線所示),則系統狀態經過區域3(ZCS區域)和ZVS導通,正關斷漏極電流不會出現。因此,當MOSFET關斷時,電流也會流過寄生體二極管。
在增益圖上分析一下負載從低變高的過程,我們不難發現:


圖8
黑虛線代表負載變化期間的理想路徑,而綠虛線表示實際路徑。在負載從低變高的過程中,可以看到系統經過ZCS區域,因此,寄生體二極管的性能變得非常重要。出于這個原因,新LLC設計的趨勢是使用體二極管恢復時間非常短的功率器件。
烜芯微專業制造二極管,三極管,MOS管,橋堆20年,工廠直銷省20%,1500家電路電器生產企業選用,專業的工程師幫您穩定好每一批產品,如果您有遇到什么需要幫助解決的,可以點擊右邊的工程師,或者點擊銷售經理給您精準的報價以及產品介紹
烜芯微專業制造二極管,三極管,MOS管,橋堆20年,工廠直銷省20%,1500家電路電器生產企業選用,專業的工程師幫您穩定好每一批產品,如果您有遇到什么需要幫助解決的,可以點擊右邊的工程師,或者點擊銷售經理給您精準的報價以及產品介紹

